LISTRIK STATIS
Listrik telah ditemukan sejak manusia mulai mengamati efek yang timbul dari dua buah benda yang saling digosokkan. Hal ini juga tampak pada pesta anak-anak, misalnya dengan trik menggosok-gosok balon dan menempelkannya di langit-langit. Bahkan, mungkin kita pernah merasakan seperti sengatan pada kaki kita setelah berjalan di atas karpet yang terbuat dari nilon.
Dengan penalaran yang lebih mendalam, beberapa pertanyaan berikut ini akan muncul di benak kita. Gaya apakah yang menyebabkan elektron tetap pada orbimya mengelilingi inti atom? Gaya apakah yang menyebabkan gedung-gedung pencakar langit atau hamparan gunung tetap tegak kokoh? Gaya apakah yang menimbulkan kilat dan badai petir?
Peristiwa-peristiwa tersebut di atas merupakan gejala dari listrik statis. Listrik statis adalah gejala tentang interaksi rnuatan listrik yang tidak bergerak atau tidak bergerak secara permanen.
Listrik statis adalah gejala tentang interaksi rnuatan listrik yang tidak bergerak atau tidak bergerak secara permanen.
Muatan Listrik
Muatan listrik adalah suatu sifat dasar alam. Dengan mempelajari interaksi elektrostatis, kita dapat memperoleh pengertian akan rnuatan listrik.
Jika batang politen didekatkan pada batang perspeks yang tergantung, kedua batang akan tarik-menarik. Akan tetapi, jika batang politen didekatkan pada batang politen lain yang juga telah digosok dengan kain wol kering maka keduanya akan tolak-menolak. Peristiwa tersebut menunjukkan bahwa rnuatan listrik pada politen dan perspeks berlainan jenis.
Benjamin Franklin memberi penandaan pada kedua jenis rnuatan listrik sebagai muatan positif dan muatan negatif. Hal ini hanya merupakan penandaan yang dirasa mudah, bukan pengertian lebih kecil dari nol untuk muatan negatif. Muatan positif dan negatif adalah sifat yang saling melengkapi atau komplementer.
Untuk mengetahui apakah suatu benda bermuatan listrik atau tidak, digunakan alat yang dinamakan elektroskop.
Muatan listrik adalah suatu sifat dasar alam. Dengan mempelajari interaksi elektrostatis, kita dapat memperoleh pengertian akan rnuatan listrik.
Jika batang politen didekatkan pada batang perspeks yang tergantung, kedua batang akan tarik-menarik. Akan tetapi, jika batang politen didekatkan pada batang politen lain yang juga telah digosok dengan kain wol kering maka keduanya akan tolak-menolak. Peristiwa tersebut menunjukkan bahwa rnuatan listrik pada politen dan perspeks berlainan jenis.
Benjamin Franklin memberi penandaan pada kedua jenis rnuatan listrik sebagai muatan positif dan muatan negatif. Hal ini hanya merupakan penandaan yang dirasa mudah, bukan pengertian lebih kecil dari nol untuk muatan negatif. Muatan positif dan negatif adalah sifat yang saling melengkapi atau komplementer.
Untuk mengetahui apakah suatu benda bermuatan listrik atau tidak, digunakan alat yang dinamakan elektroskop.
Dalarn suatu atom atau
benda, apabila jumlah muatan positif (berasal dari proton) sama dengan muatan
negatif (berasal dari elektron), maka atom atau benda tersebut tidak bermuatan
(netral). Akan tetapi, mengingat elektron suatu atom atau benda dapat
berpindah, maka dalarn suatu atom bisa terjadi jumlah muatan positif (proton)
tidak sama dengan jumlah muatan negatif (elektron).
Dengan perkataan lain, muatan dari suatu benda ditentukan oleh jumlah proton dan elektronnya.
Sebuah balon yang digosok-gosokkan pada sehelai kain akan menempel pada badan kita. Dua buah balon yang digosok-gosokkan pada kain yang sama akan tolak-menolak. Hal ini merupakan bukti fundamental bahwa muatan yang sejenis akan tolak-menolak, sedangkan muatan yang tidak sejenis akan tarik-menarik. Pakaian yang saling menempel pada saat diainbil dari pengering, debu yang menempel pada layar TV atau komputer, kejutan kecil pada saat memegang gagang pintu dari logam, merupakan contoh listrik statis.
Gaya listrik yang merupakan tarikan atau tolakan ini pertama kali diselidiki oleh seorang fisikawan besar Perancis bernama Charles Coulomb (1736 1806) pada akhir abad 18. Dia menemukan bahwa gaya antara muatan bekerja sepanjang garis yang menghubungkan keduanya dengan besar yang sebanding dengan besar kedua tnuatan dan berbanding terbalik dengan kuadrat jarak. Hasil pengamatan ini melahirkan hukum Coulomb yang secara matematis ditulis sebagai
Dengan perkataan lain, muatan dari suatu benda ditentukan oleh jumlah proton dan elektronnya.
Sebuah balon yang digosok-gosokkan pada sehelai kain akan menempel pada badan kita. Dua buah balon yang digosok-gosokkan pada kain yang sama akan tolak-menolak. Hal ini merupakan bukti fundamental bahwa muatan yang sejenis akan tolak-menolak, sedangkan muatan yang tidak sejenis akan tarik-menarik. Pakaian yang saling menempel pada saat diainbil dari pengering, debu yang menempel pada layar TV atau komputer, kejutan kecil pada saat memegang gagang pintu dari logam, merupakan contoh listrik statis.
Gaya listrik yang merupakan tarikan atau tolakan ini pertama kali diselidiki oleh seorang fisikawan besar Perancis bernama Charles Coulomb (1736 1806) pada akhir abad 18. Dia menemukan bahwa gaya antara muatan bekerja sepanjang garis yang menghubungkan keduanya dengan besar yang sebanding dengan besar kedua tnuatan dan berbanding terbalik dengan kuadrat jarak. Hasil pengamatan ini melahirkan hukum Coulomb yang secara matematis ditulis sebagai
dengan:
F = gaya coulomb (N),
ql, q2 = muatan masing-masing partikel (C),
r = jarak antara kedua muatan (m),
k = tetapan elektrostatis untuk ruang hampa
F = gaya coulomb (N),
ql, q2 = muatan masing-masing partikel (C),
r = jarak antara kedua muatan (m),
k = tetapan elektrostatis untuk ruang hampa
MEDAN LISTRIK
Medan listrik adalah suatu daerah (ruang) di sekitar muatan yang masih dipengaruhi oleh gaya listrik. Oleh Michael Faraday medan listrik digambarkan sebagai garis medan listrik yang dimulai (keluar) dari muatan positif dan diakhiri (masuk) pada muatan negatif.
Kuat medan listrik yang semakin besar digambarkan dengan garis medan yang semakin rapat.
Kuat medan Listrik
Pada setiap titik di dalam medan listrik ada suatu kuantitas yang menyatakan tingkat kekuatan medan tersebut, yang disebut kuat medan lishik. Atas dasar ini, kuat medan listrik dapat didefinisikan sebagai berikut.
Kuat medan listrik (E) di sebuah titik adalah gaya per satuan muatan yang dialami oleh sebuah muatan di titik tersebut.
Energi Potensial Listrik
Sebagaimana medan gravitasi burni, medan listrik dari distribusi muatan yang statis juga bersifat kekal. Dengan demikian, kerja yang diperlukan untuk memindahkan sebuah muatan titik di dalam medan listrik juga tidak tergantung pada lintasan. Medan seperti ini disebut sebagai medan konservatif.
Karena medan listrik bersifat koservatif, maka kita dapat menghubungkannya dengan energi potensial. Kerja yang dilakukan untuk memindahkan sebuah muatan melawan gaya listrik akan tersimpan sebagai potensial muatan.
Definisi Energi Potensial :
Energi potensial suatu muatan di suatu titik adalah usaha untuk memindahkan suatu muatan uji dari tempat yang jauh tak terhingga ke suatu tempat di sekitar muatan sumber.
Potensial Listrik
Setiap titik di dalarn medan listrik selalu mempunyai gaya listrik, kuat medan listrik, dan potensial listrik. Gaya listrik dan kuat medan listrik adalah besaran vektor sedangkan potensial listrik adalah besaran skalar. Jadi, potensial listrik tidak memiliki arah. Potensial listrik diperoleh dari energi potensial per satuan muatan.
Definisi Potensial Listrik :
Potensial listrik di suatu titik pada medan listrik adalah besarnya usaha yang diperlukan untuk memindahkan satu satuan muatan listrik dari tak terhingga ke titik tersebut.
Menghitung superposisi dari beberapa gaya listrik dan kuat medan listrik harus dilakukan secara vektor karena keduanya adalah besaran vektor.
Kapasitor
Di dalarn peralatan listrik elektronika, energi umumnya disimpan di dalam sepasang konduktor bermuatan yang dipisahkan oleh lapisan isolator. Alat penyimpan energi tersebut adalah kapasitor. Kapasitor digunakan untuk menyimpan energi dalam waktu yang singkat untuk kemudian dibebaskan kernbali dengan cepat. Sebagian besar peralatan elektronik seperti radio, TV, komputer dan lain sebagainya tidak mungkin bekerja tanpa pertolongan kapasitor.
Medan listrik adalah suatu daerah (ruang) di sekitar muatan yang masih dipengaruhi oleh gaya listrik. Oleh Michael Faraday medan listrik digambarkan sebagai garis medan listrik yang dimulai (keluar) dari muatan positif dan diakhiri (masuk) pada muatan negatif.
Kuat medan listrik yang semakin besar digambarkan dengan garis medan yang semakin rapat.
Kuat medan Listrik
Pada setiap titik di dalam medan listrik ada suatu kuantitas yang menyatakan tingkat kekuatan medan tersebut, yang disebut kuat medan lishik. Atas dasar ini, kuat medan listrik dapat didefinisikan sebagai berikut.
Kuat medan listrik (E) di sebuah titik adalah gaya per satuan muatan yang dialami oleh sebuah muatan di titik tersebut.
Energi Potensial Listrik
Sebagaimana medan gravitasi burni, medan listrik dari distribusi muatan yang statis juga bersifat kekal. Dengan demikian, kerja yang diperlukan untuk memindahkan sebuah muatan titik di dalam medan listrik juga tidak tergantung pada lintasan. Medan seperti ini disebut sebagai medan konservatif.
Karena medan listrik bersifat koservatif, maka kita dapat menghubungkannya dengan energi potensial. Kerja yang dilakukan untuk memindahkan sebuah muatan melawan gaya listrik akan tersimpan sebagai potensial muatan.
Definisi Energi Potensial :
Energi potensial suatu muatan di suatu titik adalah usaha untuk memindahkan suatu muatan uji dari tempat yang jauh tak terhingga ke suatu tempat di sekitar muatan sumber.
Potensial Listrik
Setiap titik di dalarn medan listrik selalu mempunyai gaya listrik, kuat medan listrik, dan potensial listrik. Gaya listrik dan kuat medan listrik adalah besaran vektor sedangkan potensial listrik adalah besaran skalar. Jadi, potensial listrik tidak memiliki arah. Potensial listrik diperoleh dari energi potensial per satuan muatan.
Definisi Potensial Listrik :
Potensial listrik di suatu titik pada medan listrik adalah besarnya usaha yang diperlukan untuk memindahkan satu satuan muatan listrik dari tak terhingga ke titik tersebut.
Menghitung superposisi dari beberapa gaya listrik dan kuat medan listrik harus dilakukan secara vektor karena keduanya adalah besaran vektor.
Kapasitor
Di dalarn peralatan listrik elektronika, energi umumnya disimpan di dalam sepasang konduktor bermuatan yang dipisahkan oleh lapisan isolator. Alat penyimpan energi tersebut adalah kapasitor. Kapasitor digunakan untuk menyimpan energi dalam waktu yang singkat untuk kemudian dibebaskan kernbali dengan cepat. Sebagian besar peralatan elektronik seperti radio, TV, komputer dan lain sebagainya tidak mungkin bekerja tanpa pertolongan kapasitor.
LISTRIK
DINAMIS
Listrik
dinamis adalah listrik yang dapat bergerak. Cara mengukur kuat arus pada
listrik dinamis dengan cara muatan listrik dibagai waktu dengan satuan muatan
listrik adalah coulumb dan satuan waktu adalah detik. Kuat arus pada rangkaian
bercabang sama dengan kuat arus yang masuk dengan kuat arus yang keluar.
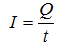
Kuat Arus Listrik
Kuat arus listrik adalah banyaknya muatan listrik yang mengalir tiap satuan waktu. Secara matematis dituliskan :

keterangan :
I = Kuat arus listrik (ampere)
Q = muatan listrik (coulomb)
t = waktu (sekon)
Arus listrik hanya mengalir pada rangkaian tertutup. Sehingga, ketika saklar dimatikan maka arus listrik akan terhenti.
Kuat arus listrik adalah banyaknya muatan listrik yang mengalir tiap satuan waktu. Secara matematis dituliskan :
keterangan :
I = Kuat arus listrik (ampere)
Q = muatan listrik (coulomb)
t = waktu (sekon)
Arus listrik hanya mengalir pada rangkaian tertutup. Sehingga, ketika saklar dimatikan maka arus listrik akan terhenti.
Beda Potensial Listrik
Beda Potensial listrik adalah banyaknya energi untuk memindahkan muatan listrik dari satu titik ke titik lain. Secara matematis dituliskan :
V = beda potensial (volt)
W = energi listrik (joule)
Q = muatan listrik (coulomb)
Rangkaian sumber tegangan
a. Rangkaian tunggal
pada rangkaian tunggal sumber tegangan berlaku persamaan :
atau
b. Rangkaian seri
pada rangkaian seri sumber tegangan berlaku persamaan :
c. Rangkaian paralel
pada rangkaian paralel sumber tegangan berlaku persamaan :
keterangan :
E = GGL sumber tegangan (volt)
I = Kuat arus listrik (ampere)
R = Hambatan luar (ohm)
r = hambatan dalam (ohm)
n = jumlah GGL/baterai
Hukum Ohm
Hukum Ohm menyatakan bahwa kuat arus listrik yang mengalir dalam suatu penghantar sebanding dengan beda potensial pada ujung-ujung penghantar.
keterangan :
V = beda potensial (volt)
I = kuat arus listrik (ampere)
R = hambatan listrik (ohm)
Hukum I Kirchoff
Hukum I Kirchoff menyatakan “Jumlah kuat arus yang masuk pada rangkaian bercabang besarnya sama dengan jumlah kuat arus yang keluar dari titik percabangan”
secara matematis dituliskan :
I = I1 + I2 + I3 = I’
Rangkaian Hambatan
a. Rangkain Seri
pada rangkaian hambatan seri berlaku persamaan :
b. Rangkaian Paralel
pada rangkaian hambatan paralel berlaku persamaan :
keterangan :
I = kuat arus total (A)
I1 = kuat arus pada R1 (A)
I2 = kuat arus pada R2 (A)
I3 = kuat arus pada R3 (A)
V = tegangan total (A)
V1 = tegangan pada R1 (A)
V2 = tegangan pada R2 (A)
V3 = tegangan pada R3 (A)
Rs = Hambatan pengganti seri (ohm)
Rp = Hambatan pengganti parallel (ohm)
Cara CEPAT !!!
Jika 2 buah hambatan dirangkai paralel, maka hambatan penggantinya :

Beda Potensial listrik adalah banyaknya energi untuk memindahkan muatan listrik dari satu titik ke titik lain. Secara matematis dituliskan :
V = beda potensial (volt)
W = energi listrik (joule)
Q = muatan listrik (coulomb)
Rangkaian sumber tegangan
a. Rangkaian tunggal
pada rangkaian tunggal sumber tegangan berlaku persamaan :
atau
b. Rangkaian seri
pada rangkaian seri sumber tegangan berlaku persamaan :
c. Rangkaian paralel
pada rangkaian paralel sumber tegangan berlaku persamaan :
keterangan :
E = GGL sumber tegangan (volt)
I = Kuat arus listrik (ampere)
R = Hambatan luar (ohm)
r = hambatan dalam (ohm)
n = jumlah GGL/baterai
Hukum Ohm
Hukum Ohm menyatakan bahwa kuat arus listrik yang mengalir dalam suatu penghantar sebanding dengan beda potensial pada ujung-ujung penghantar.
keterangan :
V = beda potensial (volt)
I = kuat arus listrik (ampere)
R = hambatan listrik (ohm)
Hukum I Kirchoff
Hukum I Kirchoff menyatakan “Jumlah kuat arus yang masuk pada rangkaian bercabang besarnya sama dengan jumlah kuat arus yang keluar dari titik percabangan”
secara matematis dituliskan :
I = I1 + I2 + I3 = I’
Rangkaian Hambatan
a. Rangkain Seri
pada rangkaian hambatan seri berlaku persamaan :
b. Rangkaian Paralel
pada rangkaian hambatan paralel berlaku persamaan :
keterangan :
I = kuat arus total (A)
I1 = kuat arus pada R1 (A)
I2 = kuat arus pada R2 (A)
I3 = kuat arus pada R3 (A)
V = tegangan total (A)
V1 = tegangan pada R1 (A)
V2 = tegangan pada R2 (A)
V3 = tegangan pada R3 (A)
Rs = Hambatan pengganti seri (ohm)
Rp = Hambatan pengganti parallel (ohm)
Cara CEPAT !!!
Jika 2 buah hambatan dirangkai paralel, maka hambatan penggantinya :
Posted by , Published at 19.57 and have
39
komentar
thanks infonya!
BalasHapusboss.. kalau qt kesentrum tu, akibat nya ap ? ad nya listrik statis atau dinamis ?
BalasHapusaduh masih gak ngerti
BalasHapusCopas ya! ketauan! jenis font tulisannya beda-beda
BalasHapusThanks udah di share gan
BalasHapusthanks ya bantu kerjaan aku
BalasHapus@windy ya karna ada listrik dinamisny itu lah bisa kesentrum
BalasHapusterimakasih banyak gan untuk infonya
BalasHapussalam Rajalistrik.com
smm panel
BalasHapusSmm panel
İs İlanlari Blog
instagram takipçi satın al
Hırdavatçı Burada
https://www.beyazesyateknikservisi.com.tr
servis
tiktok jeton hilesi
Success Write content success. Thanks.
BalasHapusdeneme bonusu
kıbrıs bahis siteleri
betpark
kralbet
betmatik
canlı slot siteleri
betturkey
kartal
BalasHapuskaş
kemer
kepez
kaş
OX4C7
bilecik
BalasHapuskepez
bakırköy
etiler
karşıyaka
3EN
yurtdışı kargo
BalasHapusresimli magnet
instagram takipçi satın al
yurtdışı kargo
sms onay
dijital kartvizit
dijital kartvizit
https://nobetci-eczane.org/
PRF
kars
BalasHapuskütahya
aydın
balıkesir
bitlis
1ZXZX
kasmalı oyunlar
BalasHapusresimli magnet
silivri çatı ustası
çerkezköy çatı ustası
referans kimliği nedir
2U7T
adıyaman
BalasHapussakarya
yalova
tekirdağ
amasya
H0B
https://titandijital.com.tr/
BalasHapusmersin parça eşya taşıma
osmaniye parça eşya taşıma
kırklareli parça eşya taşıma
tokat parça eşya taşıma
08RM33
karabük evden eve nakliyat
BalasHapusbartın evden eve nakliyat
maraş evden eve nakliyat
mersin evden eve nakliyat
aksaray evden eve nakliyat
WA5N4
düzce evden eve nakliyat
BalasHapusdenizli evden eve nakliyat
kırşehir evden eve nakliyat
çorum evden eve nakliyat
afyon evden eve nakliyat
KN5V0
C4234
BalasHapusAdana Lojistik
Elazığ Parça Eşya Taşıma
Kocaeli Evden Eve Nakliyat
Gate io Güvenilir mi
Kırıkkale Evden Eve Nakliyat
Karabük Şehir İçi Nakliyat
Tunceli Şehir İçi Nakliyat
Sakarya Lojistik
Sivas Şehir İçi Nakliyat
F7AEB
BalasHapusbuy pharmacy steroids
order steroids
steroid cycles
sarms for sale
order testosterone enanthate
deca durabolin for sale
winstrol stanozolol
sarms
order halotestin
54E81
BalasHapusAion Coin Hangi Borsada
Malatya Parça Eşya Taşıma
Çerkezköy Oto Elektrik
Batıkent Fayans Ustası
Hatay Parça Eşya Taşıma
Amasya Parça Eşya Taşıma
İstanbul Lojistik
Konya Parça Eşya Taşıma
Burdur Şehir İçi Nakliyat
8634A
BalasHapusKeçiören Boya Ustası
Sinop Lojistik
Antalya Lojistik
Osmaniye Şehirler Arası Nakliyat
Erzincan Şehir İçi Nakliyat
Silivri Evden Eve Nakliyat
Bitlis Şehirler Arası Nakliyat
Bitget Güvenilir mi
Çerkezköy Bulaşık Makinesi Tamircisi
854F7
BalasHapusYalova Parça Eşya Taşıma
order oxandrolone anavar
Kars Şehirler Arası Nakliyat
oxandrolone anavar
Bursa Evden Eve Nakliyat
Sinop Şehirler Arası Nakliyat
Sinop Parça Eşya Taşıma
Nevşehir Şehirler Arası Nakliyat
Yozgat Lojistik
75747
BalasHapusbinance %20 referans kodu
DE145
BalasHapusBitcoin Mining Nasıl Yapılır
Coin Nasıl Üretilir
Binance Kimin
Kripto Para Nasıl Oynanır
Bitcoin Üretme Siteleri
Binance Kimin
Bitcoin Oynama
Kripto Para Nasıl Alınır
Bitcoin Hesap Açma
D28F6
BalasHapusKripto Para Kazanma Siteleri
Bitcoin Üretme
Kripto Para Kazma
Coin Çıkarma Siteleri
Binance Kaldıraçlı İşlem Nasıl Yapılır
Coin Nasıl Kazılır
Kripto Para Nasıl Üretilir
Binance Nasıl Kayıt Olunur
Bitcoin Nasıl Para Kazanılır
266A8
BalasHapusKripto Para Madenciliği Siteleri
Bitcoin Nasıl Alınır
Kripto Para Madenciliği Nasıl Yapılır
Kripto Para Nasıl Çıkarılır
Coin Çıkarma Siteleri
Coin Nedir
Coin Nasıl Kazılır
Okex Borsası Güvenilir mi
Binance Nasıl Üye Olunur
24810
BalasHapusBinance Sahibi Kim
Bitcoin Giriş Nasıl Yapılır
Bitcoin Üretme Siteleri
Bitcoin Nasıl Para Kazanılır
Bitcoin Nasıl Kazılır
Kripto Para Madenciliği Siteleri
Bitcoin Nasıl Alınır
Binance Madenciliği Nedir
Bitcoin Üretme Siteleri
8E6B7
BalasHapusresimlimagnet
Btcturk Borsası Güvenilir mi
Bitcoin Nasıl Kazanılır
Coin Nasıl Çıkarılır
Coin Kazanma Siteleri
Kripto Para Madenciliği Siteleri
Bitcoin Yatırımı Nasıl Yapılır
Kripto Para Nasıl Çıkarılır
Coin Madenciliği Nasıl Yapılır
75E5B
BalasHapusuşak mobil sohbet chat
kızlarla canlı sohbet
erzincan kadınlarla sohbet
kars en iyi sesli sohbet uygulamaları
hakkari chat sohbet
ankara sesli mobil sohbet
mersin rastgele sohbet siteleri
Afyon Chat Sohbet
en iyi görüntülü sohbet uygulaması
B3F73
BalasHapusKripto Para Nasıl Çıkarılır
Milyon Coin Hangi Borsada
Osmo Coin Hangi Borsada
Spotify Takipçi Hilesi
Bitcoin Nasıl Üretilir
Bonk Coin Hangi Borsada
Yeni Çıkacak Coin Nasıl Alınır
Parasız Görüntülü Sohbet
Hexa Coin Hangi Borsada
7872C
BalasHapusmercatox
kripto kanalları telegram
mexc
canli sohbet
bitexen
kucoin
bitcoin seans saatleri
bitmex
papaya meyvesi
28F36
BalasHapusreferans kodu
binance
bitcoin giriş
coinex
bitexen
binance referans kimliği
bingx
bitexen
bitget
209C1
BalasHapusmexc
mexc
binance
bingx
canlı sohbet
kripto kanalları telegram
kucoin
kripto para nereden alınır
kizlarla canli sohbet
E87D5
BalasHapusen güvenilir kripto borsası
btcturk
bybit
mexc
bitget
papaya
referans kodu
kraken
probit
E5BF2
BalasHapus----
----
----
----
matadorbet
----
----
----
----
5A52F3FEC8
BalasHapusTelegram Airdrop Botları
Telegram Mining Botları
Telegram Mining Botları
Telegram Para Kazanma Grupları
Binance Hesabi Acma
1A0100369D
BalasHapusdüşmeyen gerçek takipçi
twitter beğeni satın al
kaliteli takipçi
organik takipçi
türk takipçi